北师大鸟类学研究团队揭示候鸟迁徙与亚洲季风之间的关系
背景
候鸟作为最具代表性的长距离迁徙动物,其迁徙模式不仅依赖于自身的飞行能力,也受到大尺度气候系统的强烈驱动。在东亚地区,季风作为主导性的环流系统,可能在塑造候鸟迁徙通道中发挥着关键作用。然而,过去的研究多集中于风力对迁徙速度和能耗的直接影响,对于季风这一大型气候系统如何与候鸟迁徙模式耦合,仍缺乏系统的探讨。针对这一问题,北京师范大学生命科学学院张正旺教授研究团队聚焦于东亚-澳大利西亚候鸟迁飞通道,结合黄嘴白鹭(Egretta eulophotes)、西伯利亚银鸥(Larus vegae)和反嘴鹬(Recurvirostra avosetta)三种候鸟的卫星追踪数据,首次揭示了东亚季风在候鸟迁徙中的作用机制。
发现
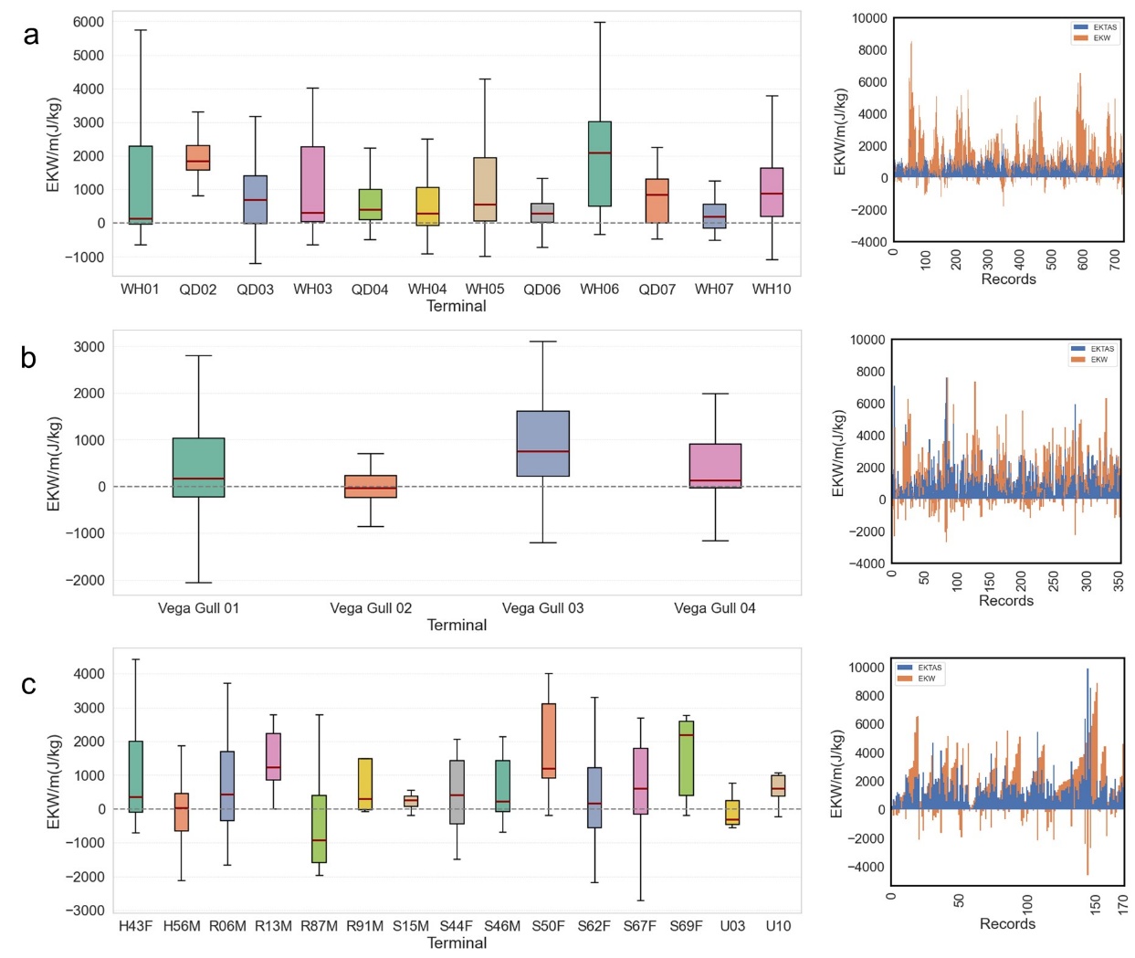
研究团队提出并综合运用多项量化指标评估风力对迁徙飞行的支持作用,包括真实空速(TAS)、空—地比值(AGR)、风速比以及风动能比。这些指标系统揭示了候鸟在迁徙过程中对风力资源的利用方式,结果表明风力贡献在整体飞行动能中的占比可超过50%(图1)。这一发现表明,候鸟不仅通过借助风力显著降低能量消耗、缩短迁徙时间,还可能将季风变化作为迁徙启动与路径选择的重要环境信号和导航线索。随着全球气候变化引发季风时序与强度格局的改变,候鸟迁徙路线及其关键停歇地也可能随之发生调整,从而为物种保护和迁飞通道管理带来新的挑战。
此外,研究还结合 MaxEnt 物种分布模型与粒子追踪方法,对季风驱动下的迁徙走廊进行了模拟分析(图2)。结果表明,东亚季风在区域尺度上形成了连续而稳定的风场带,沿黄海、南海及台湾海峡等海域构建出一条候鸟迁徙的“空中高速通道”。这一发现从“动态能量景观”的视角深化了对候鸟迁徙机制的理解,揭示了大尺度气候过程与个体迁徙行为之间的紧密耦合关系。同时,该研究在方法上将生态位模型与运动模拟技术相结合,为未来基于气候变化情景预测候鸟迁徙路径及关键通道变动提供了具有推广价值的技术框架与分析范式。
本研究不仅揭示了季风在候鸟迁徙中的重要作用,也为预测未来气候变化下的迁徙模式提供了新的理论框架。未来的研究可以进一步结合地形、停歇地生态条件与气候模型预测,探索候鸟迁徙的长期演化趋势。同时,本研究也强调了东亚-澳大利西亚候鸟迁飞通道的保护紧迫性,理解季风与迁徙的耦合机制,不仅有助于科学预测气候变化下的生态响应,也为制定更有效的保护政策提供了坚实的科学依据。

图1 季风风场对候鸟迁徙速度与能量结构的影响。风力显著提升地速并降低鸟类自身能耗。

图2 候鸟迁徙与季风风场的耦合关系示意。(a)黄嘴白鹭主要沿海洋通道迁徙,受益最显著;(b)西伯利亚银鸥和(c)反嘴鹬则因路线差异,风力支持相对不稳定。
成果
该研究成果以 “Monsoon winds create an expressway for migratory shorebirds on the East Asia–Australasian Flyway” 为题,发表于国际学术期刊 Communications Earth & Environment(DOI: 10.1038/s43247-025-03049-8)。北京师范大学生命科学学院已毕业硕士研究生肖恒君为论文第一作者,张正旺教授与陈德副教授为共同通讯作者。论文合作者还包括来自中国科学院南京地理与湖泊研究所、格罗宁根大学、北京大学、青岛市观鸟协会、青岛大公岛岛屿生态系统省级自然保护区、荣成成山头省级自然保护区管理服务中心以及胶州市自然资源和规划局等多家科研与管理机构的研究人员。本研究工作得到国家重点研发计划项目(2022YFF0802400)和国家自然科学基金项目(32270518、31830089)的资助。